Quantum Random Number Generator
Parsa QRNG generates TRUE random numbers for cryptography, secure communication, randomized algorithms, and simulation of stochastic processes. This device generates true random numbers based on the random laser phase noise.
All contemporary security and protection systems rely on symmetric or asymmetric cryptography, with their efficacy hinging on a secure (unpredictable) key (password). The security of these encryption algorithms is primarily rooted in the quality of the algorithms themselves and, crucially, in the security of their keys. Nearly all human systems that prioritize security and data protection incorporate a random number generation system for encryption and security keys. Consequently, the security of a cryptographic system is contingent upon the security of the generated random numbers. An attack on random numbers, which involves attempting to estimate or disrupt these values, poses a significant risk to the security of cryptographic systems.
In present-day security standards for random number generator systems, such as (NIST SP800-90B or BSI AIS-31), emphasis is placed on the insufficiency of statistical analysis alone in verifying the quality and entropy of generated random data. These standards imply that the security of the system must be mathematically and theoretically proven. This level of assurance is absent in classical random number generator systems and is exclusively achievable in quantum random number generator systems.
PARSA QRNG has the ability to generate post-processed quantum random numbers at the rate of 500 Mbps and non-post-processed (raw data) at the rate of 800 Mbps. This system sends raw data to the computer (or server) by LAN cable (UDP protocol) and saves them as binary data files. This device has received NIST SP800-22 and DIEHARDER Test Suite certificates to validate the degree of data randomness.
| Random Number Generation Rate | 800 Mbps (Raw), 500 Mbps (Post-processed) | Random Number Generation Disturbance Alarm | Yes | 
| Certificates | NIST SP800-22 Test Suite DIHARDER Test Suite | Operating Temperature | 0-35 (Active) 0-50 (Storage) | 
| System Protocol Rate | LAN 1000 Mbps — UPD | Operating Humidity | <60% (Active) <90% (Storage) | 
| Display Data Transfer Protocol | USART | Dimension (W*H*D) | 45cm*4.4cm*15cm | 
| Processing Board Programming Interface | USB | Weight | 3 kg | 
| Device-Computer Connection Watch-Dog | Yes | Power Consumption | 50 W (Active) 10 W (Standby) | 
| Computer-Software Start Watch-Dog | Yes | Input Voltage | 220 V 120 V | 
Parsa QRNG is based on the laser light produced by the Amplified Spontaneous Emission (ASE) method. In this method, we turn the laser on and off with an electrical pulse train, which is called gain-switching. In this condition, the field inside the laser cavity alternately experiences two different operating regimes: first, when it is well above the laser turn-on threshold, and second, when it is well below the threshold. In the first condition, induced emission dominates inside the cavity and the laser pulse is generated and emitted coherently. In the second condition, the field inside the cavity will be very weak and will experience a phase spread. This phase spread has a quantum random nature. If we represent this phase with 𝜃, the changes of this phase can be expressed as follows with the Langevin equation

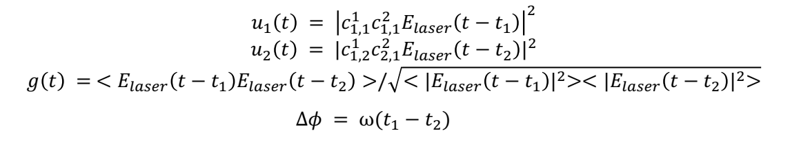
After solving this equation, a Gaussian distribution function is obtained for the random value 𝜃. In the random number generation system, the interferometric process is used to convert this random phase value 𝜃 into a random intensity value. For this purpose, it is sufficient to interfere with each other, for example, two consecutive pulses from a laser that turns on and off in a pulsed manner under the conditions described above. Figure 1 shows the block diagram of the arrangement of the quantum random number generation system in a very simple way. If the delay time of the upper arm of the interferometer is equal to 𝑡1 and this delay time in the lower arm is equal to 𝑡2, then the output field of the interferometer would be

In which ci,jk is the transmission coefficient of the k-th 3dB coupler from the input port i to the output port j.

Now, if we consider the lase field as

Then we can obtain the intensity of the output field as

in which

and unoise(t) is the classical background noise added to the output signal power.
As we explained earlier, the phase 𝜃i is a quantum random variable with a Gaussian distribution. Therefore, the difference of two random variables with these characteristics is also a Gaussian random variable, whose cosine is a random variable with an arcsine distribution function. Since the rest of the parameters in the output power change more slowly than the phase changes or are constant compared to it, the output power is a quantum random variable with an arcsine distribution function. Figure 2 shows the output pulse of the optical receiver on the oscilloscope and the histogram of its size in the indicated interval, which is proportional to the output power of the interferometer, in the desired system. As you can see, the output power has an arcsine distribution function.

Then, the received data are analyzed in the post-processing section by the FPGA processing board and the Toeplitz extractor algorithm is implemented on them, so that the distribution function of the output data is completely uniform and also the non-quantum noise is removed from them. The histogram of these data is shown in Figure 3.

In addition to the QRNG with parameters given in SPECS tab, it is possible to customize the device parameters. In this case, the total price of the device is determined generally by the required random number generation rate, software features, Data Transfer and Connection protocol which is order by the costumer.
For quotation of the QRNG with the given specs, or order a QRNG with customized features, please fill the Feedback Form. We will contact you as soon as possible.
Giving Us Your Feedback
Your valuable feedback will considered carefully and we will contact you as soon as possible.